Strona główna
  Menu przedmiotowe >> Prawo lokalne >> Zarządzenia Prezydenta Miasta


 

Zarządzenie Prezydenta Miasta Bełchatowa

Numer zarządzenia: 165

Data wydania : 
20-06-2011

Tytuł:
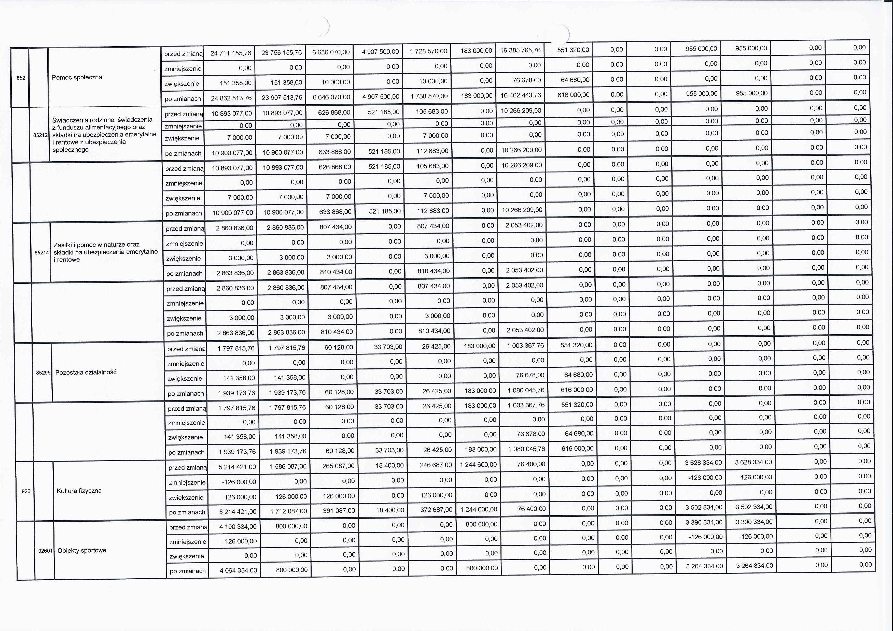
Zarządzenie Nr 165 z dnia 20 czerwca 2011 r. w/s zmian w budżecie Miasta Bełchatowa na 2011 rok

pobierz treść zarządzenia:

 Zarządzenie Nr 165_2011.jpeg
 Załącznik nr 1.jpeg
 Załącznik nr 2 - str. 1.jpeg
 Załącznik nr 2 - str. 2.jpeg
 Załącznik nr 2 - str. 3.jpeg
 Załącznik nr 2 - str. 4.jpeg
 Załącznik nr 2 - str. 5.jpeg
 Załącznik nr 3.jpeg
Pokaż rejestr zmian
Redaktorzy Urząd Miasta Bełchatowa, Liczba odwiedzin: 120258762