Strona główna
  Menu przedmiotowe >> Prawo lokalne >> Zarządzenia Prezydenta Miasta


 

Zarządzenie Prezydenta Miasta Bełchatowa

Numer zarządzenia: 149

Data wydania : 
30-05-2011

Tytuł:
Zarządzenie Nr 149 z dnia 30 maja 2011 r. w/s zmian w budżecie Miasta Bełchatowa na 2011 rok

pobierz treść zarządzenia:

 Zarządzenie Nr 149_2011.jpeg
 Załącznik nr 1.jpeg
 Załącznik nr 1 - str.2.jpeg
 Plan dochodów.jpeg
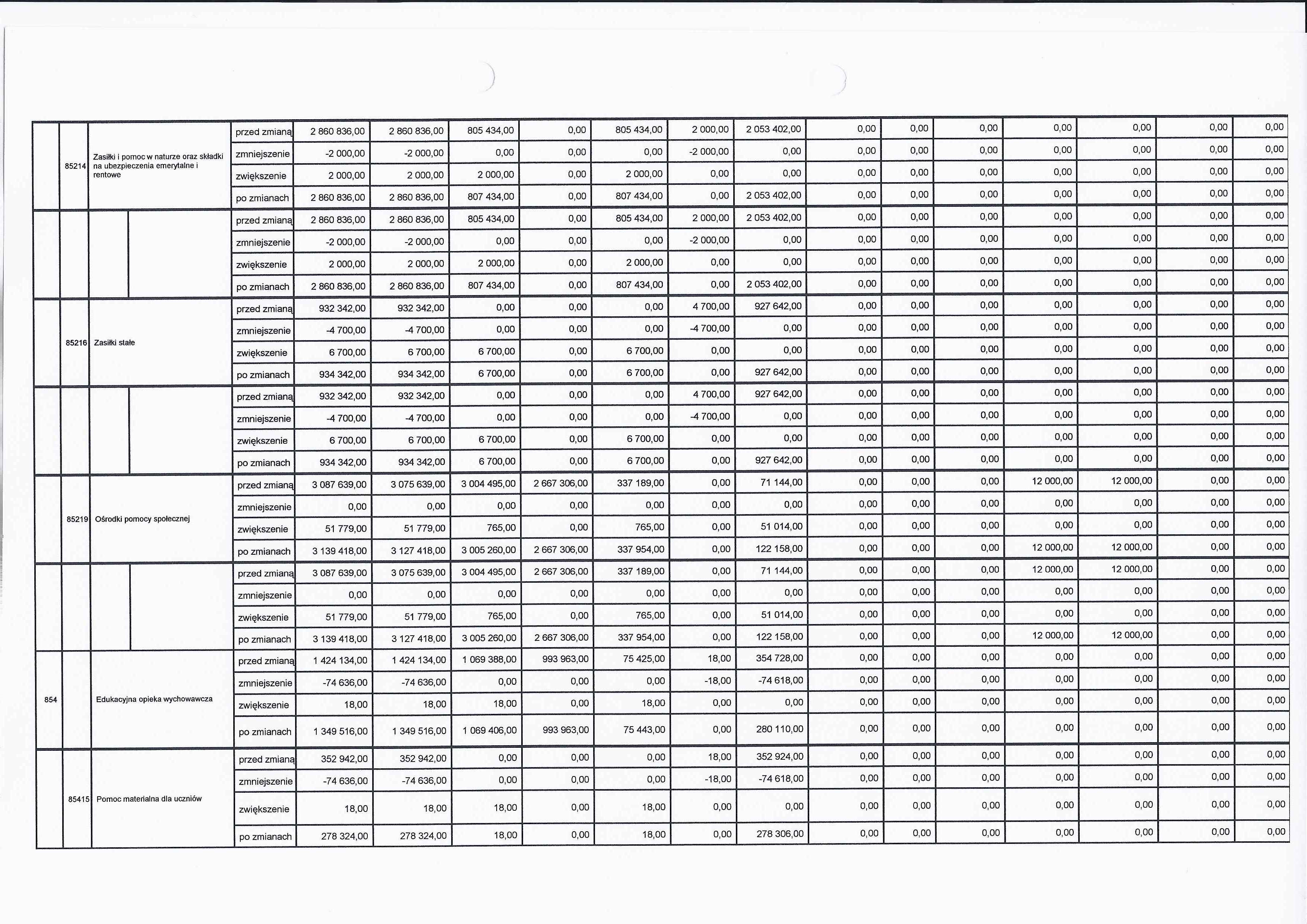
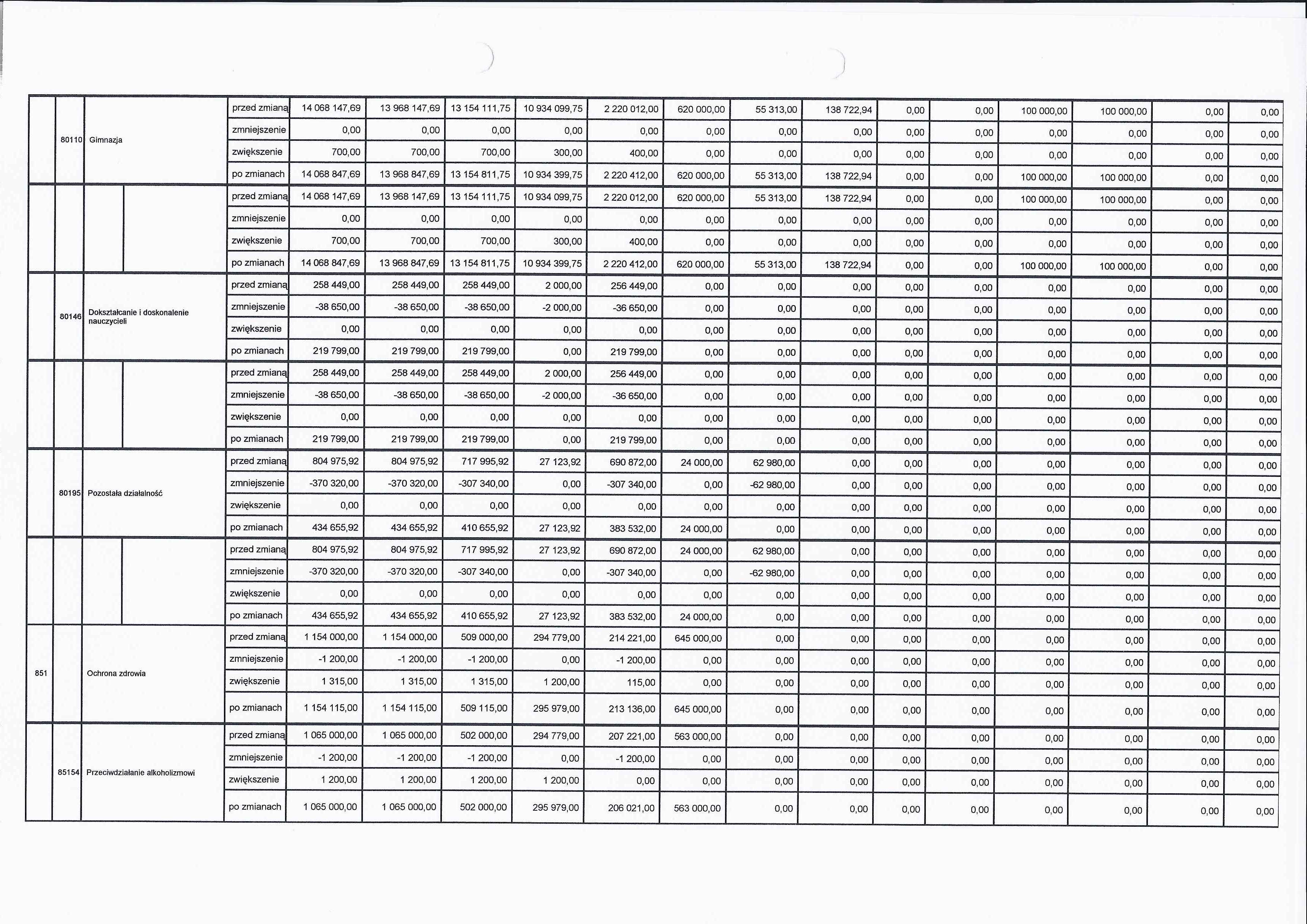
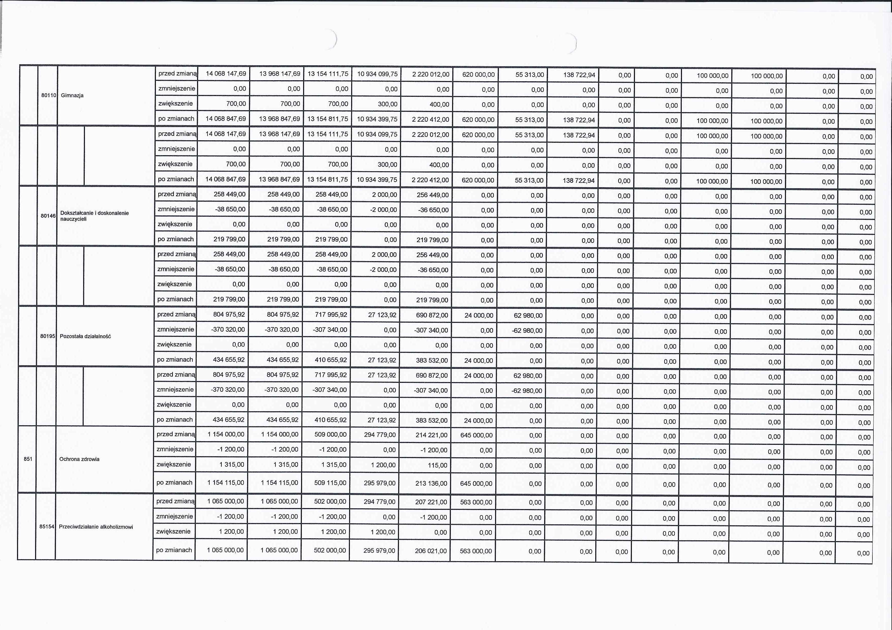
 Załącznik nr 2 - str. 1.jpeg
 Załącznik nr 2 - str. 2.jpeg
 Załącznik nr 2 - str. 3.jpeg
 Załącznik nr 2 - str. 4.jpeg
 Załącznik nr 2 - str. 5.jpeg
 Załącznik nr 2 - str. 6.jpeg
 Załącznik nr 2 - str. 7.jpeg
 Załącznik nr 3.jpeg
Pokaż rejestr zmian
Redaktorzy Urząd Miasta Bełchatowa, Liczba odwiedzin: 119814427